Hukum Pascal dan Penerapannya – Pada bab mengenai tekanan zat cair dalam ilmu fisika, kita akan mempelajari sebuah hukum mengenai zat cair yang berguna dalam kehidupan sehari-hari. Nah, salah satu hukum yang telah dirumuskan yaitu mengenai hukum pascal. Oleh seorang ilmuwan yang bernama Blaise Pascal pernah melakukan sebuah eksperimen atau pun percobaan yang menunjukkan tentang keberadaan hukum pascal ini yang sampai sekarang belum ada teori lain yang bisa mematahkannya. Eksperimen ini dilakukannya pada sebuah suntikan yang di isi dengan dan juga pada bola karet yang di isi air sampai dengan penuh. Lalu bola karet tersebut ditusuk dengan jarum pada beberapa tempat dan menekan penghisap pada suntik melalui sebuah pipa yang dihubungkan pada bola karet tersebut sehingga air memancar ke segala arah. Nah, kesimpulan dari percobaan inilah yang oleh Blaise Pascal di angkat menjadi hukum pascal. Baiklah, lebih jelasnya mari kita simak mengenai hukum pascal dan pemanfaatannya dalam kehidupan sehari-hari!
Bunyi Hukum Pascal
Berdasarkan sebuah percobaan di dapatkan bahwa tekanan yang kita berikan kepada air akan diteruskan ke segala arah dengan sama besar. Maka sifat ini, oleh blaise pascal (1623-1662) di kemukakan sebagai sebuah prinsip dalam hukum fisika. Hingga akhirnya, sifat ini disebut dengan hukum pascal yag berbunyi:
“Tekanan yang diberikan pada zat cair dalam ruang tertutup akan di teruskan ke segala arah tanpa berkurang ke titik dalam zat cair dan gas dan ke dinding bejana (sama besar)”
Sebuah bejana berhubungan mempunyai luas penampang masing-masing. Agar lebih mudah memahami, perhatikan gambar di bawah ini!
![]() |
| Gambar |
Gambar tersebut memperlihatkan bahwa sebuah tabung kecil (1) yang dihubungkan dengan sebuah tabung besar (2). Alat tersebut di isi zat cair dan pada masing-masing tabung di pasang piston (penghisap). Jika piston 1 ditekan, maka tekanan tersebut akan diteruskan oleh zat cair sehingga piston 2 bergerak ke atas. Menurut Hukum Pascal, besar tekanan pada tabung kecil maupun tabung besar adalah sama. Oleh karena itu, di temukan persamaan awal seperti ini:
Tekanan di piston 1 = Tekanan di Piston 2
| Rumus |
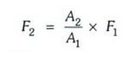
Atau simplenya:
| Rumus |
Dengan F1 = gaya pada tabung 1, F2 = gaya pada tabung 2, maka A1 = luas penampang tabung dan A2 = luas penampang tabung 2.
Maka berdasarkan persamaan di atas dapat kita kita simpulkan dengan memberikan gaya yang kecil pada piston 1, maka kita akan mendapatkan gaya yang lebih besar di piston 2. Syaratnta adalah luas penampang tabung 1 lebih kecil daripada luas penampang tabung 2. Misalkan, kita membuat A2 menjadi 20 kali lebih besar dari A1. Kemudian, kita berikan gaya pada piston kecil 100 N. Piston besar akan mendapat gaya sebesar:
| Penyelesaian |
Tampak dari perhitungan di atas, gaya mengalami penguatan sebesar 20 kali. Penguatan gaya pada mesin hidrolik dapat di capai dengan memperbesar perbandingan luas tabung kecil dan tabung besar. Makin besar perbandingan luas tabung, maka makin besar penguatan gaya yang di hasilkan. Banyak peralatan yang menggunakan prinsip mesin penghasil gaya hidrolik. Dan ini merupakan bagian dari penerapan hukum pascal. Mesin ini di pakai untuk mengubah gaya yang kecil menjadi gaya yang sangat besar. Dengan menggunakan mesin ini benda-benda yang berat dapat di angkat dengan yang jauh lebih kecil daripada berat benda itu.
Penerapan Hukum Pascal
Dongkrak Hidrolik
Prinsip kerja dongkrak hidrolik ini akan mudah jika di perhatikan pada gambar dibawah ini:
![]() |
| Dongkrak Hidrolik |
Dengan membuat perbandingan luas penampang kedua piston cukup besar maka akan dihasilkan gaya yang sangat besar pada piston besar sehingga mampu mengangkat mobil. Dongkrak hidrolik ini biasanya digunakan untuk mengangkat mobil dengan posisi yang tidak terlalu tinggi, misalnya pada saat ingin mengganti ban mobil yang kemps ataupun bocor.
Mesin pengangkat mobil hidrolik
Prinsip kerja mesin ini sebenarnya hampir sama saja dengan prinsip kerja dongkrak hidrolik. Perbedaannya adalah tekanan pada piston kecil alat ini digantikan oleh udara yang bertekanan tinggi. Perhatikan gambar ini untuk mudah memahami!
![]() |
| Mesin Pengangkat Mobil |
Pada saat digunakan, udara bertekanan tinggi dialirkan ke dalam reservoir. Tekanan tersebut diteruskan oleh zat cair ke piston besar sehingga diperoleh gaya angkat yang sangat besar. Alat ini mungkin terlihat sederhana, akan tetapi alat ini mampu mengangkat mobil dengan ketinggian sampai 1,5 meter. Pada ketinggian tersebut bagi orang-orang yang bekerja di doorsmeer akan lebih mudah untuk membersihkannya, mencuci ataupun memperbaiki bagian-bagian bawah mobil yang mungkin mengalami kerusakan. Oleh karena itulah, umumnya alat ini banyak digunakan di bengkel mobil ataupun di tempat pencucian mobil (doorsmeer).
Rem Hidrolik
Prinsip kerja rem hidrolik adalah menahan gerak cakram yang berhubungan dengan ban. Caranya adalah dengan menjepit cakram ke dalam atau mendesak ke luar. Gaya gesekan antara penjepit dengan cakram inilah yang menghentikan kendaraan. Perhatikan gambar ini untuk mudah memahaminya!
![]() |
| Rem Hidrolik |
Dalam hal ini, kaki pengemudi menekan piston yang berukuran kecil. Zat cair dalam pipa-pipa mendapat tambahan tekanan. Penambahan tekanan diteruskan ke seluruh bagian zat cair. Piston besar yang berhadapan dengan cakram rem mendapat tambahan tekanan yang sama. Karena ukuran piston ini yang jauh lebih besar daripada piston pada kaki pengemudi, gaya yang dilakukan pada cakram rem menjadi lebih besar sekali. Oleh karena itu, gaya kecil dari kaki menghasilkan gaya yang sangat besar pada rem hingga dapat menghentikan kendaraan.
Berikut salah satu contoh soal mengenai hukum pascal:
![]() |
| contoh soal |
Nah sahabat, sudah cukup jelas bukan mengenai konsep mesin hidrolik yang dijelaskan dalam hukum pascal ini. jika saja mau kita pelajari, ini jelas akan sangat berguna dalam kehidupan kita sehari-hari. Sekian dari admin, semoga bermanfaat!




